新书推介:《语义网技术体系》
作者:瞿裕忠,胡伟,程龚
   XML论坛     W3CHINA.ORG讨论区     计算机科学论坛     SOAChina论坛     Blog     开放翻译计划     新浪微博  
 
  • 首页
  • 登录
  • 注册
  • 软件下载
  • 资料下载
  • 核心成员
  • 帮助
  •   Add to Google

    >> 研友的交流园地,讨论关于计算机考研的方方面面。
    [返回] 中文XML论坛 - 专业的XML技术讨论区计算机理论与工程『 计算机考研交流 』 → [求助]求一道极限题的解法 查看新帖用户列表

      发表一个新主题  发表一个新投票  回复主题  (订阅本版) 您是本帖的第 3913 个阅读者浏览上一篇主题  刷新本主题   树形显示贴子 浏览下一篇主题
     * 贴子主题: [求助]求一道极限题的解法 举报  打印  推荐  IE收藏夹 
       本主题类别:     
     runningwulf 帅哥哟,离线,有人找我吗?
      
      
      等级:大一(高数修炼中)
      文章:33
      积分:201
      门派:XML.ORG.CN
      注册:2006/5/20

    姓名:(无权查看)
    城市:(无权查看)
    院校:(无权查看)
    给runningwulf发送一个短消息 把runningwulf加入好友 查看runningwulf的个人资料 搜索runningwulf在『 计算机考研交流 』 的所有贴子 引用回复这个贴子 回复这个贴子 查看runningwulf的博客楼主
    发贴心情 [求助]求一道极限题的解法


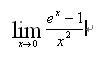
    此主题相关图片如下:
    按此在新窗口浏览图片

    求这个极限的解法,多谢了!


       收藏   分享  
    顶(0)
      




    点击查看用户来源及管理<br>发贴IP:*.*.*.* 2006/10/9 19:56:00
     
     Logician 帅哥哟,离线,有人找我吗?天蝎座1984-10-28
      
      
      威望:9
      头衔:逻辑爱好者
      等级:研三(收到IBM CRL的Offer了)(版主)
      文章:1219
      积分:10357
      门派:IEEE.ORG.CN
      注册:2005/3/12

    姓名:(无权查看)
    城市:(无权查看)
    院校:(无权查看)
    给Logician发送一个短消息 把Logician加入好友 查看Logician的个人资料 搜索Logician在『 计算机考研交流 』 的所有贴子 点击这里发送电邮给Logician  访问Logician的主页 引用回复这个贴子 回复这个贴子 查看Logician的博客2
    发贴心情 
    用一次洛毕达,就证明是无穷了。

    ----------------------------------------------
    Three passions, simple but overwhelmingly strong, 
    have governed my life: the longing for love, the
    search for knowledge, and unbearable pity for the
    suffering of mankind.
                                - Bertrand Russell

    点击查看用户来源及管理<br>发贴IP:*.*.*.* 2006/10/9 20:41:00
     
     runningwulf 帅哥哟,离线,有人找我吗?
      
      
      等级:大一(高数修炼中)
      文章:33
      积分:201
      门派:XML.ORG.CN
      注册:2006/5/20

    姓名:(无权查看)
    城市:(无权查看)
    院校:(无权查看)
    给runningwulf发送一个短消息 把runningwulf加入好友 查看runningwulf的个人资料 搜索runningwulf在『 计算机考研交流 』 的所有贴子 引用回复这个贴子 回复这个贴子 查看runningwulf的博客3
    发贴心情 
    hehe ,发完帖子我才复习了洛必达法则,发现获益匪浅!
    谢谢指点!
    点击查看用户来源及管理<br>发贴IP:*.*.*.* 2006/10/9 21:20:00
     
     DavidPotter 帅哥哟,离线,有人找我吗?
      
      
      等级:大三暑假(ITELS考了6.5分!)
      文章:150
      积分:852
      门派:Lilybbs.net
      注册:2006/3/7

    姓名:(无权查看)
    城市:(无权查看)
    院校:(无权查看)
    给DavidPotter发送一个短消息 把DavidPotter加入好友 查看DavidPotter的个人资料 搜索DavidPotter在『 计算机考研交流 』 的所有贴子 点击这里发送电邮给DavidPotter 引用回复这个贴子 回复这个贴子 查看DavidPotter的博客4
    发贴心情 
    ...

    ----------------------------------------------
    Don‘t try so hard, the best things come when you least expect them to.

    点击查看用户来源及管理<br>发贴IP:*.*.*.* 2006/10/10 10:32:00
     
     lionx 帅哥哟,离线,有人找我吗?
      
      
      等级:大四(GRE考了1500分!)
      文章:144
      积分:1074
      门派:Lilybbs.net
      注册:2006/7/13

    姓名:(无权查看)
    城市:(无权查看)
    院校:(无权查看)
    给lionx发送一个短消息 把lionx加入好友 查看lionx的个人资料 搜索lionx在『 计算机考研交流 』 的所有贴子 点击这里发送电邮给lionx  引用回复这个贴子 回复这个贴子 查看lionx的博客5
    发贴心情 
    或用e^x-1 = x+O(x^2)
    点击查看用户来源及管理<br>发贴IP:*.*.*.* 2006/10/10 10:39:00
     
     GoogleAdSense
      
      
      等级:大一新生
      文章:1
      积分:50
      门派:无门无派
      院校:未填写
      注册:2007-01-01
    给Google AdSense发送一个短消息 把Google AdSense加入好友 查看Google AdSense的个人资料 搜索Google AdSense在『 计算机考研交流 』 的所有贴子 点击这里发送电邮给Google AdSense  访问Google AdSense的主页 引用回复这个贴子 回复这个贴子 查看Google AdSense的博客广告
    2026/4/3 16:09:55

    本主题贴数5,分页: [1]

    管理选项修改tag | 锁定 | 解锁 | 提升 | 删除 | 移动 | 固顶 | 总固顶 | 奖励 | 惩罚 | 发布公告
    W3C Contributing Supporter! W 3 C h i n a ( since 2003 ) 旗 下 站 点
    苏ICP备05006046号《全国人大常委会关于维护互联网安全的决定》《计算机信息网络国际联网安全保护管理办法》
    74.219ms